next up previous
Next: Interpretation of Results Up: Results and Interpretation Previous: Results and Interpretation

Cache Performance Metrics

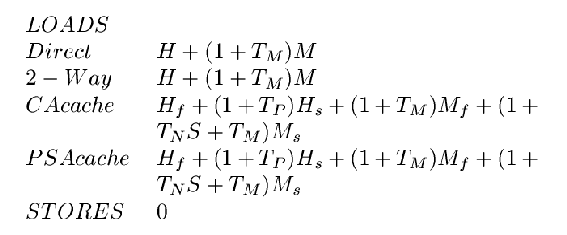
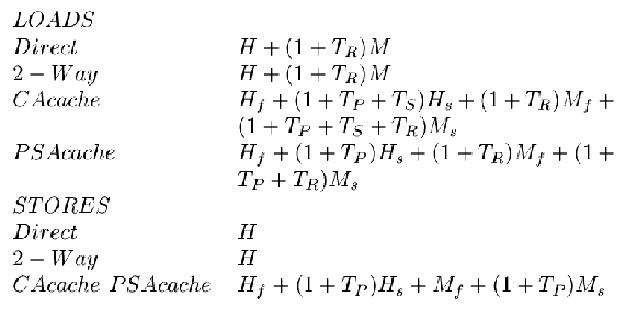
Cache access laterncy is defined to be the average time the processor must wait for a memory reference to be resolved. And the average cache occupancy is the time the cache is busy for each reference [1]. A smaller access latency and smaller occupancy is preferred in a cache. If the latency is high, the processor must stall, waiting for data. If the occupancy is high, there is a greater chance outstanding references will conflict with newly issued references. As is seen from the simulation results, most of the caches have the same access latency, and are differentiated by their cache occupancy.

Different hit rates for loads and stores are recorded and for the no-write allocated write policy, the following parameters are used as in [1]. The sequential associative caches, CA cache and PSA cache, further divide the hit rate H into hits that are detected on the first cache probe tex2html_wrap_inline247 and those detected on the second probe tex2html_wrap_inline249 . The sequential caches use the rehash bit to avoid a second cache probe for some misses and so, the Miss rate M is divided into tex2html_wrap_inline253 , denoting misses detected on the first probe, and tex2html_wrap_inline255 , denoting misses detected on the second probe. The following tables define certain parameters used in the timing model and the values assumed for each of them in the model.

The Timing Equations used to compute Cache Access Latency are:

The Timing Equations used to compute Cache Occupancy Time are:

 
Figure 1: ``Comparison of Performance for compress benchmark''

 
Figure 2: ``Comparison of Performance for eqntott benchmark''



Annamalai Ramanathan
Fri Apr 4 19:37:16 EST 1997